系統制造商正在提供有史以來最優質、最可靠和最節能的汽車、飛機、汽輪機和燃氣發動機以及相關部件。這在很大程度上是因為制造商對這些產品日益增長的嚴格測試和測量要求。差壓傳感器是要求高可靠性、可重復性和高精度的應用工藝中不可或缺的一部分。
差壓傳感器通常被用于試驗臺、風洞、泄漏檢測系統和其他應用中。每種應用的工程師都在尋求對他們所在行業十分重要的傳感器改進。
當今差壓傳感器的性能已經提高到可為嚴苛應用提供解決方案。本文說明了如何在關鍵壓力應用中使用差壓傳感器,差壓傳感器的兩個性能特性,以及這兩個參數的重要意義。

圖1:不同的壓力測量類型
差壓(DP)傳感器測量兩點間的壓力差,通常使用參考壓力(基準壓力),而不是大氣壓力(見圖1)。為此,傳感器有兩個端口,使得壓力可以施加在感測元件的兩側。其中,一個端口用于試樣(過程端口),另一個則用于參考(參考端口)。DP傳感器檢測到的壓力差異會生成一個高精度讀數,該讀數與測量的壓差成正比。
1.微壓差傳感器應用
差壓傳感器通常被用于試驗臺、風洞、泄漏檢測系統和其他應用中。每種應用的工程師都在尋求對他們所在行業十分重要的傳感器改進。例如,設計和使用試驗臺的工程師希望測量儀器具有非常高的精度,因為計算系統性能需要精確的空氣流量測量。試驗臺可能會使用微壓傳感器來測量進入柴油發動機的燃氣流量,從而確定性能,或者測量非公路車輛發動機的效率。
另一方面,風洞工程師對具有高精度和快速響應時間的傳感器非常感興趣。低速風洞應用需要測量不斷變化的氣流速度。因此,傳感器可能會用于計算飛機的風速、測量空氣如何流過汽車,或者幫助確定風力渦輪機葉片的最佳曲率和間距。這些應用依靠差壓傳感器與皮托管共同使用,來進行精確可靠的局部氣流速度測量。

圖:差壓傳感器用于計算風洞中的氣流速度

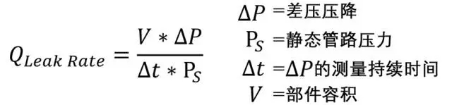
相反,基于差壓降低測量的泄漏檢測系統的工程師更重視過壓保護,因為施加高壓時很容易發生意外過載。這些泄漏檢測系統使用差壓傳感器來計算泄漏速率(基于壓力降低),從而確定小容積部件的密封完整性。
例如,可以對燃氣發動機進行測試來確定其密封件是否氣密、監測正在使用的高壓過程管道來檢測泄漏,或者單獨密封機加工鑄件的各個通道,并按照90 PSIG下3 sec/m的測試規范進行檢查。施加的靜態管路壓力越高,可分辨的壓差越小,則可檢測的泄漏速率就越低。(見圖3)

圖3:使用差壓傳感器進行泄漏檢測

2.精度
輸出讀數極其精確,小于等于+0.07% FS RSS(滿量程,方和根法),因為電容傳感器降低了噪聲影響并且使用了數字線性化處理。這些傳感器使用頻率信號輸出替代了模擬信號,20-40 MHz的頻率范圍可減少進入電路的傳導噪聲。這些高頻信號易于被精確測量,并且已經為通過數字信號處理進行調節做好“數字化準備”。
壓力傳感器的精度一般通過方和根(RSS)法量化:

當這三個誤差值盡可能小時,可以獲得更高的精度(更低的% FS)。精度計算的三個特性如圖4-6所示。非重復性和滯后是感測元件設計的固有特性,在制造過程中難以補償。通常這些值是傳感器質量和穩定性的基本指標。在校準過程中可以補償的特性是非線性。計算非線性的最佳擬合直線(BFSL或BSL)方法通過實際曲線擬合一條直線,以便最大限度降低實際曲線與直線之間的相對誤差。這種情況下,曲線的終點與最佳擬合直線間沒有關聯。

圖4:非重復性和滯后對壓力傳感器輸出的影響
計算非線性的最佳擬合直線(BFSL或BSL)方法通過實際曲線擬合一條直線,以便最大限度降低實際曲線與直線之間的相對誤差。這種情況下,曲線的終點與最佳擬合直線沒有關聯。

圖5:如何使用最佳擬合直線法測量非線性
計算非線性的更精確和更嚴格的方法是終點法(圖6),該方法測量在繪制連接終點P0(零差壓)到PFS(滿量程)的直線時的非線性。這種情況下,對零點偏移或者量程進行校準調整后,可以保持終點精度。測量非線性的不同方法會影響RSS傳感器精度的報告方式。例如,采用終點法具有±0.03%非線性的傳感器,使用最佳擬合直線法時非線性可能為±0.015%。BSFL方法的非線性數值更低,但是這并不會提高精度。

圖6:如何使用更嚴格的終點法測量非線性
在制造過程中,傳感器會進行全數字化處理來線性化輸出信號。數字信號線性化相比模擬信號線性化更加精確,因而可實現監控過程狀態的實時、精確、可靠的數據。此外,數字化處理可提供比模擬處理更高的抗電子噪聲干擾性。
另一個顯著的傳感器改進是總誤差。由于較新的傳感器都經過熱特性測量,它們被更好地熱補償,這可提高總誤差帶??傉`差帶通常包括零點和量程偏移的最大不確定性誤差、零點和量程漂移、滯后、非線性和非重復性(見圖8)。
總誤差是真值最大正偏差與最大負偏差之間的差值。它通過檢查傳感器在壓力測量限值和工作溫度范圍內的所有可能誤差來確定??傉`差值被用于確定傳感器在其補償溫度范圍內的最差性能。

圖7:總誤差(TEB)
傳感器在其校準溫度范圍(如-20到+60℃)內被特性化。在該過程中,通過記錄在自動制造過程中不同溫度時的零點偏移和量程,收集制造過程的數據。采用非線性曲線擬合算法來特性化傳感器的表現。通過該過程,補償數據被永久性加載到各個傳感器中,以便有效地補償熱環境影響。獲得在寬溫度補償范圍內小于+0.5%滿量程的總誤差結果。

圖8:溫度對零點的影響示例
在所有環境影響因素種,溫度對信號輸出的影響最大。因此,不要忽視選擇具有低熱誤差的壓力傳感器的重要性,這樣可以實現工作溫度范圍內的最佳性能。

圖9:溫度對量程的影響示例
阿爾法儀器是一家專業研發生產微差壓傳感器,微差壓變送器的廠家,我們的差壓傳感器具有卓越的性能價格比,廣泛應用于各種工業自控環境,涉及石油管道、水利水電、鐵路交通、智能建筑、生產自控、航空航天、軍工、石化、油井、電力、船舶、機床、管道送風、鍋爐負壓等眾多行業。
研發(美國):468 Great Road Acton, MA 01720
深圳總公司:深圳丨南山丨夢海大道5109號卓越前海壹號T3座32層
河南分公司:南陽 | 社旗 | 森霸傳感產業園
聯系電話:400-180-3005
郵箱:contact@alphainstruments.com